Polynomial#

class skfda.misc.covariances.Polynomial(*, variance=1, intercept=0, slope=1, degree=2)[source]#

Polynomial covariance function.

The covariance function is

\[K(x, x') = \sigma^2 (\alpha x^T x' + c)^d\]

where \(\sigma^2\) is the scale of the variance, \(\alpha\) is the slope, \(d\) the degree of the polynomial and \(c\) is the intercept.

Heatmap plot of the covariance function:

from skfda.misc.covariances import Polynomial
import matplotlib.pyplot as plt

Polynomial().heatmap(limits=(0, 1))
plt.show()
../../../_images/skfda.misc.covariances.Polynomial_0_0.png

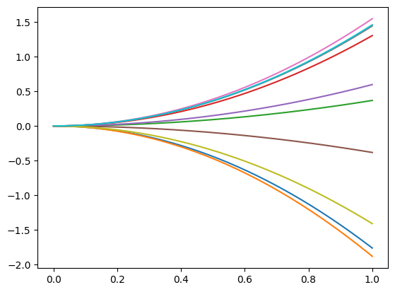
Example of Gaussian process trajectories using this covariance:

from skfda.misc.covariances import Polynomial
from skfda.datasets import make_gaussian_process
import matplotlib.pyplot as plt

gp = make_gaussian_process(
        n_samples=10, cov=Polynomial(), random_state=0)
gp.plot()
plt.show()
../../../_images/skfda.misc.covariances.Polynomial_1_0.png

Default representation in a Jupyter notebook:

from skfda.misc.covariances import Polynomial

Polynomial()
\[K(x, x') = \sigma^2 (\alpha x^T x' + c)^d \\\text{where:}\begin{aligned}\qquad\sigma^2 &= 1 \\c &= 0 \\\alpha &= 1 \\d &= 2 \\\end{aligned}\]
2025-07-16T14:46:32.437538 image/svg+xml Matplotlib v3.10.3, https://matplotlib.org/
2025-07-16T14:46:32.391693 image/svg+xml Matplotlib v3.10.3, https://matplotlib.org/

Methods

heatmap([limits])

Return a heatmap plot of the covariance function.

to_sklearn()

Obtain corresponding scikit-learn kernel type.

Parameters:
heatmap(limits=(-1, 1))[source]#

Return a heatmap plot of the covariance function.

Parameters:

limits (tuple[float, float])

Return type:

Figure

to_sklearn()[source]#

Obtain corresponding scikit-learn kernel type.

Return type:

Kernel